中咨视界
陈佳鹏 | 基于煤基替代燃料损益分析视角的能源安全研究
| |||||
| |||||
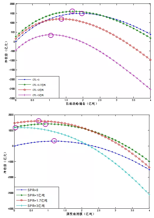
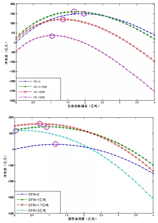
随着我国经济的快速增长,日益增长的石油对外依存度成为能源安全的突出问题。目前国际油价波动起伏较大,各国应对能源安全常用的手段是建立石油战略储备,寻找合适的交通替代能源(替代燃料)成为保障能源安全的研究热点。 本文从能源安全入手,分析其内涵,并归纳提出能源安全体系和框架图,在此基础上建立能源安全损益分析模型,并结合煤基液体燃料案例,分别研究了石油战略储备的最优规模和替代燃料的最优规模,以及两者在保障能源安全中的相互作用关系。 一、能源安全内涵分析 为了解替代燃料在保障能源安全中的位置和作用,首先需要对能源安全的内涵有一个充分的理解。 (一)能源安全综述 能源安全源于1973年的能源危机,主要聚焦于如何处理产油国的石油供应中断。随着时间的推移,各国对能源安全的理解存在一定差异。对于我国而言,能源供应不要成为经济快速发展的瓶颈则是目前主要的能源安全关注点。此外,能源安全的关注点还将包括如何消除未来任何可能的由于中东等地局势不稳定等原因引发的石油供应中断问题。 剑桥能源咨询万搏网站(CERA)主席丹尼尔·耶金(Daniel Yergin)在2007年3月22日美国众议院外交关系委员会“石油依赖在外交和国防中的意义”听证会上提到[1]:如今,能源安全的定义需要扩展至对整个能源供应链和基础设施的保护,能源的相互依赖以及能源贸易规模的增长要求生产国和消费国之间不断合作,以确保整个供应链的安全。他认为对中国和印度来说,能源安全首先是保证它们有足够的能源来支持经济发展,并防止可能导致社会和政治动乱的能源不足的情况日益恶化。耶金还提到生物技术在能源方面的运用可能对能源安全产生重要影响。 Kenneth Lieberthal认为,中国能源不安全的根源在于中国强劲的经济增长刺激了能源需求的猛增,并远超国内能源供应和基础设施的承受能力[2],而且中国将严重依赖波斯湾地区供应石油需求的较大份额;相应地,越来越多的进口份额需要穿行海路要道。他认为中国的能源政策是重商主义的,在不断争取海外份额油的同时,仍需要依靠市场的力量来获取大部分的进口石油。他还指出:作为世界上数一数二的能源消费和进口国,美国和中国拥有实力保障世界的石油供应和价格稳定,应制定一个有效的能源发展战略。 Dennis Blair和Kenneth Lieberthal在《一帆风顺——海路安全的神话与现实》一文中提出[3]:现今的国际石油航运并没有想象中那么脆弱,对其造成严重和持续中断的机会微乎其微。他们指出石油海运中最具潜在危险的有三个地方:霍尔木兹海峡、马六甲海峡和新加坡海峡,但只有一支强大如美国的海军才有可能严重扰乱石油运输,但美国正致力于保障公海的海运安全。历史也表明,重大的海运中断是非常罕见的。他们还指出:只要不发生全面战争,无论海盗、恐怖袭击还是任何国家都无法阻止或封锁海上通道。只有美国具备全面控制海上通道的能力,而中、俄、日、印在军事装备、后勤供应和操作经验方面与美国具有二十年的差距,无法与美国抗衡。只有在台海出现战事时,美国才可能会以武力对中国采取封锁行动,拦截中国的石油和重要物资运输。 游弋在波斯湾的美军航母战斗群 伊朗革命卫队在进行战斗演习 Michael C. Lynch认为能源安全只是短期中断问题,不可能出现长期中断,问题的本质是经济和价格问题而不是供应短缺问题[4]。资源缺乏的国家对国际能源市场的过分担忧,是造成对能源安全误解的一个根本原因。一个国家只要愿意付出足够高昂的价格,总能确保能源的供给,但高昂的石油价格会引起经济的损失,损失大小完全取决于石油进口的规模。石油危机对全球产生影响,不可能有选择地只针对个别国家。对抗石油中断的最有效手段是战略储备,而替代燃料对能源安全的作用有限,发展替代燃料必须作严格的收益损失分析。 徐承恩等认为石油安全实质上是市场需求安全,其核心问题是稳定的供应、合理的价格[5]。历史经验表明石油供应中断往往引起油价上涨,但油价上涨并非都与石油供应中断有关。对于正常的油价波动,合理的市场机制就可以调节,不属于石油安全问题;进口石油的数量以及占消费量比例的高低并不是衡量石油安全程度的决定性因素,关键是进口供应的稳定性和进口价格的合理性。他们还提出了保障我国石油安全的多种思路:开源节流、全球化合作、石油进口多元化、市场化运作、发展替代能源、加强科技进步、建立石油储备提高应变能力。 综上所述,能源安全的内涵在过去几十年已经有了很大的改变:能源安全不仅仅是应对产油国的供应中断,还应扩展至整个供应链的保护,但需要转变对石油运输安全过分担忧的观念。实际上,国际石油航运是相对安全的,不可能出现长期中断。能源安全只是短期中断的问题,其本质是经济和价格问题。替代燃料需要从保障能源安全的角度作严格的经济性分析,定量分析替代燃料发展规律。 (二)能源安全体系 1.能源安全体系框架图 基于对上述能源安全文献的理解,我国应梳理新的能源安全观。图1展示了新的国家能源安全体系框架图,图中箭头表示来源项决定和影响指向项。 图1 能源安全体系框架 能源安全包括资源安全和价格安全两部分。 资源安全的要素包括资源拥有量、对资源拥有者的政治影响力、资源的军事控制能力和资源运输能力。资源拥有量本质上取决于国家的经济实力,尤其是对国外资源的拥有。对资源拥有者的政治影响力是指地缘政治能力,背后的本质支撑是经济实力和军事能力,外交是实施手段,传统友谊是优势和法宝。资源的军事控制能力是政治的延续和最后解决手段。资源运输能力包括海上航线和输油管线的控制,以及造船能力和运输船队的拥有。 影响价格安全的要素包括全球供需市场的供需平衡状况以及国际石油垄断组织(如欧佩克)对石油价格的操作能力。全球供需市场受到四方面因素的影响:资源安全性,战略石油储备量,能源效率,替代能源的发展数量。资源安全性是指资源储备和供应能力(包括备用产能)。国际石油垄断组织毫无疑问要追求其经济利益最大化,但其控制市场价格的企图和行为首先受到地缘政治的约束。此外还受到价格过高可能导致需求萎靡、其长期经济利益受损的客观约束。 2.石油战略储备和替代燃料在能源安全中的作用 在需求确定的条件下,全球供需市场受到影响的因素中,资源储备和供应能力、战略石油储备量和能源效率是保证石油市场安全的传统手段,其中石油战略储备是促进石油市场短期平衡的最直接和有效的手段,是现行对付短期石油中断和价格飞升的最重要手段[4]。它不仅能延缓石油中断的影响,也能替代中断的供应量。 原油储存库 相对传统手段而言,替代燃料是保证全球和国家石油安全的新手段和新事物。它的作用主要是降低本国石油消费强度,在石油危机来临时可少受干扰,减轻高油价给国家经济带来的损失。由于替代燃料的投资大、成本高、发展周期长,因此其活动水平低,对世界石油市场只有长期和缓慢的作用效果[4]。 国家能源集团鄂尔多斯煤制油分万搏网站厂区 图1实际上也对石油战略储备、替代燃料和其他维护石油安全的措施的相互关系作了一定程度的表述。图中右下角标注“圈点”的条目表示需要花费经济成本的措施,石油战略储备和替代燃料是其中的两种。显然,有限的财力花在哪里是需要系统性思考和综合权衡的,对于怎样建立战略储备或发展替代燃料来说,存在利益权衡问题。对于如何从收益和成本平衡的角度确定各自适宜的发展规模,需要建立能源安全损益模型进行分析。 二、能源安全损益分析原理 美国橡树岭国家实验室从保障石油供应安全角度对石油战略储备的最优规模进行过定量化的研究[6][7][8][9]。中国工程院也就石油安全和储备战略进行过研究,对我国石油储备的规模进行过定性分析和未来规模预测[5]。目前国际上对于替代燃料在石油供应安全的作用大多为定性分析,缺乏定量计算分析。 本文参考了美国橡树岭国家实验室定量研究的方法,把石油战略储备最优规模的建模方法,根据石油战略储备和替代燃料对于能源安全的不同作用机理,扩展到计算石油战略储备和替代燃料发展的最优规模。模型的原理在于分析通过这两种手段保障能源安全过程中所损失的经济成本和获得的经济收益,在损和益之间寻找一个平衡的优化结果。故本文将此模型称为能源安全损益分析模型。 对于建立石油战略储备(SPR)或发展替代燃料(ALF),经济成本主要包括基础设施建设成本、运行维护成本和购买资源或燃料的相关成本。对于替代燃料来说,还应包括相关的CO2处理成本,这些成本都可以直接计算出来。建立战略储备或发展替代燃料能得到何种收益呢?答案并不显而易见,因为这种收益只有在石油中断的时候才能显现出来[6][7],其原理如图2所示。 图2 SPR和ALF的收益计算原理示意 国际石油市场供给量一旦明显低于其正常或预期的需求量,即发生石油中断,将影响国际石油市场的供需平衡,造成油价的上涨,从而会造成本国石油进口额外成本的损失。另外,由于石油短缺和油价上涨将造成本国GDP的损失,主要包括三部分:(1)部门间调整,表现为人力和资本等生产资料通过市场在各生产部门间重新分配,如炼油厂工人下岗,自行车厂招工;(2)迟滞效应,表现为由于对未来市场持观望态度而引起的投资和生产下降;(3)消费形式变化引起生产资料再分配,如新建节能生产线,停用老生产线。 建立石油战略储备或发展替代燃料,就是为了尽可能地避免这部分损失,而避免的损失就是它们的收益了。图3描述了发展替代燃料的收益和代价,是否存在“最佳点”、以及如何寻找“最佳点”是替代燃料损益分析中的关键问题。本文拟结合煤基替代燃料案例,通过数学建模的方法进一步定量描述和实现“最佳点”。 图3 替代燃料损益分析计算原理示意 三、煤基替代燃料案例分析 我国是一个多煤少油缺气的国家,所以在发展替代燃料的过程中,应该优先考虑煤基替代燃料。本文选取煤直接制油为研究对象,对我国发展替代燃料进行情景分析,计算发展煤基替代燃料的成本和收益,并通过计算其净收益,分析是否应该发展替代燃料,应该发展多大规模的替代燃料。本文选取2010—2030年的数据进行三个情景分析:石油战略储备案例分析、替代燃料案例分析、组合案例分析。 (一)数据输入 表1 模型关键参数假设 (二)石油战略储备最优规模分析 我国SPR案例分析,重点计算建立SPR的净收益,并分析是否应该建立SPR,建立多大规模的SPR。图4展示了不同SPR规模下的损益情况。 图4 不同SPR规模下的损益 从图4可以看出:总支出与SPR的规模呈线性关系,而避免石油进口损失和避免GDP损失则与SPR规模呈一定的非线性关系。由此得出结论:到2030年,我国应该建立一定规模的SPR,并在1.9亿吨时将有约1500亿元的最大收益。 1.9亿吨的规模,是总石油需求量7.4亿吨的约1/4,这与有些国家的石油储备战略相似,即以国内三个月的石油需求量为标准建立石油战略储备[5]。 (三)煤基替代燃料最优规模分析 由于采用煤基替代燃料,将会产生额外的CO2排放,这部分CO2的处理成本,也应包括在替代燃料的成本中。 图5展示了不同煤制油规模下的损益情况,为了特别展示由于煤基替代燃料产生的额外CO2的处理成本,图中将CO2处理费用提炼出来单独画线。 图5 不同煤变油规模下的损益 从图5可以看出:煤变油的生产成本和避免的进口损失是影响最终净收益的两个重要因素。CO2处理费用也不容小视,但发展替代燃料对避免GDP损失的作用有限。净收益曲线有一个最优点,即到2030年,我国应该发展规模为1.2亿吨的煤制油,此时将获得最大收益约为300亿元。 (四)石油战略储备与煤基替代燃料同时发展最优规模分析 前文分别对单独建立石油战略储备和发展煤基替代燃料进行了案例分析,作为应对能源安全的两个不同手段,如果同时建立石油战略储备和发展煤基替代燃料,将会有多大的收益?它们各自的最佳规模又将是多少?它们相互之间将有何影响? 本文依旧选取2010—2030年的数据,对这些问题展开研究,计算结果如图6所示,其中左图为三维立体图,右图为对应的等高线图。 图6 不同石油战略储备和替代能源规模下的净收益 从图6可以看出,存在最佳的石油战略储备和替代能源规模,使我国在应对石油中断时有最大的收益。计算结果表明在建立1.7亿吨石油战略储备和发展0.7亿吨替代燃料时,将有约1600亿元的最大收益。从等高线图可以看出,在最佳规模附近,其收益也较大,所以图中中心圆圈内的点均可以认为是较优规模,即到2030年,我国建设1.5~2亿吨石油战略储备,同时发展0.5~1亿吨的替代能源,将有较大的收益。 与前面两个案例的分析结果相比,作为应对能源安全的两种不同手段,石油战略储备和替代燃料有一定的联系,图7展示了这种相互作用关系。 图7 石油战略储备规模和煤变油规模的相互作用 从图7可以得出以下几点结论: 两种手段有一定的补充作用,即多发展煤基替代燃料,就可以少建设石油战略储备规模,反之亦然; 两种手段对于能源安全的效果不相同,相比而言,石油战略储备是保障能源安全的最有效的手段,总收益里面的绝大部分来自于石油战略储备,而煤基替代燃料只是一个补充的手段。 当石油战略储备建设到一定的规模(约3亿吨)时,发展煤基替代燃料并不会产生额外的收益。 特别值得指出的是,本文只以煤直接制油为代表进行了煤基替代燃料的案例分析,且在进行分析时假设不再发展其他煤基替代燃料。但未来可能的煤基替代燃料还包括甲醇、二甲醚、烯烃等,如果考虑上述替代燃料的同时发展,只需将案例分析数据输入中的煤基替代燃料成本、效率等,用同时发展的综合数据取代,即可计算出各种煤基替代燃料共同发展时的最优规模。 (五)煤基替代燃料案例分析中关键参数的敏感性分析 近年国际石油价格波动较大,为使案例分析的结果更为可信,本文将依据现实的情况,对损益模型中的关键参数进行敏感性分析。在影响能源安全的各个因素中,GDP/油价弹性系数和油价是其中最重要的两个参数,本节将对它们进行敏感性分析。 1.GDP/油价弹性系数的敏感性分析 石油价格的涨幅将对国民生产总值(GDP)产生一定的影响,这一关系体现在GDP/油价弹性系数上。Aweibuch[12]在2006年对各研究中GDP/油价弹性系数进行了综述。从中可以看出,不同的作者用不同的模型算出来的结果差异非常大。 影响GDP/油价弹性系数主要有三个因素:石油进口依存度、单位GDP的油耗水平和油价水平。本文根据不同文献的研究,对我国的GDP/油价弹性系数分别取-0.01、-0.02、-0.03进行敏感性分析,结果如图8所示。 弹性系数=-0.01 弹性系数=-0.02 弹性系数=-0.03 图8 GDP/油价弹性系数对能源安全收益的影响 弹性系数的大小,表明油价对我国经济所引起的冲击的大小。弹性系数的绝对值越大,表明我国经济受油价影响就越大,反之亦然。从图8可以看出,GDP/油价弹性系数对于石油战略储备最优规模影响较大,而对替代燃料规模的影响较小。弹性系数从-0.01变到-0.02和-0.03时,石油战略储备的最优规模由1.1亿吨,变到1.7亿吨和2.2亿吨,而煤变油规模由0.5亿吨,变到0.7亿吨和0.9亿吨。 结果显示,随着GDP/油价弹性系数绝对值的增加,我国需要建立的石油战略储备规模也将增加,发展更多的替代燃料,所获得的保障能源安全的净收益也将增大。 2.油价的敏感性分析 为了研究油价对替代燃料最优规模的影响,本文对油价的小幅变动对替代燃料规模的影响的敏感性分析。结果如图9所示。需要说明的是,这里的油价并不表示当前值,而是表示对从现在到2030年油价的平均期望值。 油价=65美元/桶 油价=70美元/桶 油价=75美元/桶 图9 油价对能源安全收益的影响 从图9可以看出,油价小幅波动对于替代燃料最优规模影响巨大,而对石油战略储备规模的影响较小。结果显示,当油价低于每桶65美元时,不应该发展替代燃料,而当油价大于75美元时,应该大力发展替代燃料。另外,随着油价的增长,保障能源安全的净收益也将增大。 从上面的结果可以看出,油价对于石油战略储备和替代燃料最优规模影响巨大。在不同的油价下,不一定存在最优规模,较多的情形是要么可以大力发展替代燃料,要么不必要发展替代燃料。一般来说,在油价偏高的情况下,应该大力发展替代燃料;反之,则不应该发展替代燃料。 四、结论 1.能源安全的本质是经济和价格问题,而不是供应短缺问题,能源安全包括资源安全和价格安全。在很长的时间尺度内,能源安全主要是价格安全。 2.石油战略储备和替代燃料是保障能源安全的两种不同手段,其收益主要来源于在石油供应发生中断时,所避免的进口损失和GDP损失。在建立战略储备或发展替代燃料时,存在利益权衡的问题,需要系统性思考和综合权衡利弊。 3.通过对能源安全的成本与收益建模分析表明,在保障能源安全的过程中,石油战略储备和煤基替代燃料均有一定的最优规模。在基准情景假设下,同时建立1.5~2亿吨石油战略储备和0.5~1亿吨替代燃料时,对于保障能源安全具有较大的收益。 4.建立石油战略储备和发展替代燃料对于保障能源安全有一定的补充作用,即多发展替代燃料,就可以少建设石油战略储备规模,反之亦然;两种手段对于能源安全的效果不相同,相比而言,石油战略储备是保障能源安全的最有效的手段,总收益的绝大部分来自于石油战略储备,替代燃料只是一个补充手段。 5.在保障能源安全的过程中,GDP/油价弹性系数是影响石油战略储备的最主要的参数。 6.在进行替代燃料发展决策时,要充分考虑到未来油价的走势,并做相应的损益分析。 参考文献 [1]Daniel Yergin. The Fundamentals of Energy Security [EB/OL]. [2007-03-22]. http://foreignaffairs.house.gov/110/yer032207.htm. [2]Kenneth Lieberthal and Mikkal Herberg. China’s Search for Energy Security: Implications for U.S. Policy. NBR ANALYSIS, Volume 17, Number 1, April 2006. [3]Dennis Blair and Kenneth Lieberthal. Smooth Sailing — The Myths and Realities of Sea-Lane Security. Foreign Affairs, 2007: 1-6. [4]Michael C. Lynch. Nature of Energy Security. Breakthroughs, 1997, 4(1):4. [5]徐承恩, 刘克雨, 赵伏, 等. 石油安全和储备战略专题报告[R].中国工程院, 2004. [6]Paul Leiby and David Bowman. The Value of Expanded SPR Drawdown Capability. Oak Ridge National Laboratory. October 18, 2000. [7]Paul Leiby and David Bowman. The Value of Expanding the U.S. Strategic Petroleum Reserve. Oak Ridge National Laboratory. November 30, 2000. [8]David Greene, Donald W Jones and Paul Leiby. The outlook for US oil dependence. Energy Policy, Vol. 26, No. 1, pp. 55-69, 1998. [9]U.S. Department of Energy. Strategic Petroleum Reserve Size Study. Directed by the Department of Energy with Interagency Participation. February 1990. [10]魏一鸣,范英,焦建玲, 等.国际油价波动对中国经济的影响预测[R]. 中国科学院预测研究中心,2006. [11]Y. M. Wei, G. Wu, Y. Fan, L.C. Liu. Empirical analysis of optimal strategic petroleum reserve in China, Energy Economics. 2008, 30(2), 290-302. [12]Shimon Awerbuch, Raphael Sauter. Exploiting the oil–GDP effect to support renewables deployment. Energy Policy. 34 (2006) 2805–2819. [13]王庆一.中国可持续能源项目---2007年能源数据[R].2007. [14]李政,张希良,麻林巍等.中国替代能源发展战略研究[R].清华大学, 2007. [15]Yuzhuo Zhang. China’s Development Strategy for Coal-to-Liquids Industry. IEA Coal Industry Advisory Board Workshop. Paris, 2006. 注:原文载于《中国煤炭》2017年第3期,本次发表做了较大改动。 | |||||
相关链接
- 齐景丽 申传龙 王凡 霍正元 |...2020-07-21
- 刘富荣 | 中国应在中美科技竞争...2020-07-17
- 许豫东 孔繁荣 杜贞利 | 我国...2020-07-15
- 邹昊飞 谭潇 | 新时期推动境外...2020-07-13
- 张宗玟 伍勇旭 | 应对“十四五...2020-07-08













