中咨视界
武博祎 等 | 基于基础信息要素的重大科技工程项目全过程管理及绩效评价研究
| |||||
| |||||
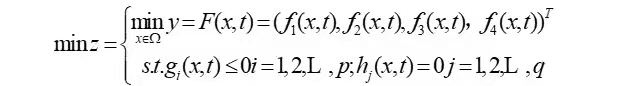
基于基础信息要素的重大科技工程项目全过程管理及绩效评价研究 万搏网站 武博祎 哈尔滨工程大学 陈茜、芦翰晨、陈俊清 摘要:文章基于系统工程、综合集成等相关理论,坚持需求导向,从重大科技工程项目落实全要素、全过程军民融合和协同创新,以及对重大科技工程项目实施科学和精细化管理出发,将重大科技工程项目所表现和涉及的基础要素按如下七个维度进行划分:项目技术指标E(t)、项目标准规范S(t)、产品配套结构P(t)、保障资源配置R(t)、制造工艺技术I(t)、项目任务计划W(t)、组织管理效能O(t),并提出各维度要素及项目成本、质量、进度、协同四大特征与整个工程项目绩效评价方法,以便实现重大科技工程项目全要素、全过程动态集成管理和绩效评价,为科学决策提供支持。 关键词:重大科技工程项目;要素;集成管理;绩效评价 一、引言 为提升国家战略实力,增强自身竞争优势,包括美国、俄罗斯、日本、印度、欧洲等国家和地区都积极组织实施集工程研制、科学研究和能力建设目标为一体、军民融合的重大科技工程项目。为实现我国战略发展目标,国家2006年2月发布《国家中长期科学和技术发展规划纲要(2006-2020)》[1],确定了关系国计民生的16个重大专项;2017年科技部启动了“科技创新2030-重大项目”,对重大科技工程项目进行布局。这些重大科技工程项目的实施,对解决国家安全重大问题,推动科技进步,服务经济社会发展,提升产业整体竞争力,增强综合国力具有重大战略意义。 重大科技工程项目是集科学层次理论研究与核心技术突破、技术层次资源集成与开发实施、工程层次产品(设施)研制于一体,且具有军民融合属性的复杂巨系统[2]。具有实施周期长、投资大、领域广、风险高等特点,需要各参研参建单位资源共享、协同创新,各相关主体对项目涉及的要素进行科学和精细化管理,才能完成项目既定目标,并使军民融合和科技协同创新战略得以贯彻落实。但从现实情况看,目前我国重大科技工程项目管理仍普遍采用上世纪50年代美国项目管理协会提出的项目管理方法,重点关注项目进度、成本和质量等中观特征要素,对影响项目预算变化、进度调整、质量保证等问题,特别是项目深度军民融合效能问题,缺乏有针对性的基础信息要素分析和管理。因此,在国家要求在相关领域实现全要素军民融合深度发展的大背景下,如何在一定的约束条件下对重大科技工程项目组织实施科学、精细和动态管理,并使其实现既定目标,是一个重要且急需解决的问题。 我国现行基于美国上世纪提出的项目管理理论制定的针对科技工程项目管理方法,一直以来对项目管理取得了积极的成效,但随着人们认知自然世界的不断深入、所面临问题的不断变化、对重大科技工程项目管理要求的提高,需要有能够全面、系统、量化、精细反映重大科技工程项目本质运动状态的管理方法,以便对项目实施的变化趋势、项目目标实现可能遇到的风险进行准确分析判断,适应管理的科学化、系统化、精准化、协同化要求。因此,本文通过剖析重大科技工程项目基础信息要素,构建基于信息要素的绩效评价体系,实现全要素、全过程的科学化、系统化、知识化、精准化、准实时动态管理,具有一定的理论和实际应用意义。 二、重大科技工程项目管理研究现状 重大科技工程项目全要素、全过程管理研究目前处于起步阶段,研究成果相对较少,研究的视角主要集中在从国家宏观层面及微观重大科技工程项目过程管理两方面开展研究。 宏观角度研究重大科技工程项目管理的目的在于为其培育较好环境,完善相关政策,优化重大科技工程项目资源配置,推动重大科技工程项目成功实施。国家为项目的实施能够达到预期的目标,对重大科技工程项目制定相关的政策、法规及激励、评价、审核机制,建立与重大科技工程项目全寿命周期相匹配的管理制度和方法,针对项目方案论证、工程研制、生产交付、运行维护维修和退役回收等相应阶段[3],确定各环节里程碑并予以制约、管制,建立有效监督机制加强对重大科技工程项目宏观管理。基于此,学者在监督机制建立[4]、重大科技工程项目评价[5]、国内外重大科技工程项目管理等方面开展了相关研究。 微观角度研究重大科技工程项目主要以项目全寿命周期过程管理为对象[6]。重大科技工程项目是一开放复杂巨系统,具有投资规模大、实施周期长[7]、技术风险高、参与单位多、专业领域广、任务层级多、管理任务重等内在特点,对项目的过程管理提出了更新、更高的要求。诸多学者致力于研究相应方式方法,使过程管理综合集成遵循某种法则,通过约定项目信息传递方式、组织管理规范,使项目管理呈现有序和统一状态。目前,重大科技工程项目过程管理主要从界面管理、知识管理、创新工程三个角度展开研究。从界面管理角度展开研究的学者认为界面为各子系统之间相互区别又相互联系的纽带[8],只有做好横向众多参与单位之间接口及纵向实施过程各阶段接口管理工作,才能使重大科技工程项目实现资源最优配置,完成重大科技工程项目目标,学者主要从合作界面及组织界面两个维度展开研究,进行关键界面识别及研究整合优化方法。从知识管理角度开展研究的学者认为,知识是重大科技工程项目实施过程中流动的“血液”,故侯光明从知识工程角度研究重大科技工程项目隐性知识耦合模型、传承模型、集成模型等,对重大科技工程项目知识管理有一定借鉴作用[9]。从创新工程角度研究重大科技工程项目学者认为,重大科技工程项目需要各专业各学科基础研究作为支撑进行核心技术突破,是国家创新系统重要组成部分,学者从技术创新及影响因素等方面展开研究,力争提高科技水平,缩小与国际差距,实现国家战略目标。 综上所述,目前关于重大科技工程项目管理,宏观方面,正在通过研究不断完善重大科技工程项目相关政策和监督、考核、评价机制,已初见成效;微观方面,学者致力于重大科技工程项目过程管理工具、方法研究,其研究成果都是基于采用美国项目管理协会提出的项目管理理论展开,关注成本、进度、质量,但由于这三个项目目标是受多种和多重具体基础要素决定的,只对其进行管理而不关注具体基础要素,使项目管理难以深入,不能体察项目最本质的深层次运动规律,从而导致对改进项目管理提出的措施缺乏针对性和基础性,需从影响项目的最基础要素入手,实现对项目管理的精准化、透明化、基础化。另外,从重大科技工程项目管理的现实情况看,缺乏对项目精细化的管理和系统的绩效评价。基于此,本文从剖析重大科技工程项目具体基础要素出发,建立各具体基础要素随项目进程的动态变化对重大科技工程项目成本、进度、质量与协同的影响函数,对项目目标进行全过程动态控制,进而实现对项目整体状态进行全方位把握总体构想。 三、重大科技工程项目全过程管理及绩效评价构建理论基础 本文采用系统工程理论,项目管理理论,运用综合集成思想作为构建机理建立项目多目标集成优化模型与绩效评价体系。 (一) 系统工程理论 重大科技工程项目研发属于开放复杂巨系统活动,是由可行性论证、规划与计划、实施与控制、验收与交付过程组成的集合体。要完成重大科技工程项目目标,实现预期效益和成果,需要各过程相互关联、有机结合。实施中各单位、部门、过程之间都需要进行物质、信息、能量交换,重大科技工程项目各分系统组合会涌现出其自身孤立状态未有的新质,从而进行不断演化。若想实现系统整体功能最优,就需要探究演化系统发展一般规律,运用运筹学、控制论与信息学等相关理论研究确定重大科技工程项目系统整体最优的方法,正是开放复杂巨系统理论的研究内容。 (二)项目管理理论 重大科技工程项目作为一复杂巨系统,需运用项目管理理论,根据项目指标,建立科学有效的组织,制定合理进度计划,根据行业标准规范、制造工艺技术及产品配套结构,进行有效资源配置,多方主体共同参与完成,保证重大科技工程项目实现预定目标。 (三)综合集成思想 集成就是将两个以上的单元(要素、系统)集合在一起形成一有机整体过程[10]。集成不是各部分简单叠加,而是经过优化、选择、搭配形成有效整体,实现最优资源配置,获取最佳建设成果。重大科技工程项目实行全要素、全过程、全主体精准科学管理,包含要素集成、过程集成、主体行为集成。 1.基础要素集成 重大科技工程项目实施的全过程由基础要素加以反映。这些基础要素的动态变化、相互耦合、有机结合决定重大科技工程项目全过程运行态势及目标的达成。科学合理的分析重大科技工程项目基础要素集成规律,项目相关主体可据此科学和精细化的制定重大科技工程项目实施策略;根据项目基础要素间能量和信息传递判断其达到预定目标的整体演进态势;及时采取相对应调整策略使项目功能整体绩效最佳。 2.实施过程集成 重大科技工程项目实施一般都经历方案论证、关键技术攻关、产品研制、系统实验、运行改进等多个阶段,且相互关联互相影响,是一个集成统一的过程。在项目实施的不同阶段,每一基础要素随项目推进呈现动态演化,故探寻重大科技工程项目内部运行机理,合理配置各类要素以使项目整体最优,不能局限于某一阶段、某一时间点,而应研究重大科技工程项目全过程。 3.主体行为集成 重大科技工程项目由于规模庞大,参与方众多,包含管理主体、使用主体、实施主体、服务主体等。在项目实施过程中,不同的主体为实现重大科技工程项目预定目标,各自承担不同的任务、履行不同的职责,通过传递项目相关信息协同工作。对各类主体的行为进行集成,有利于通过对各相关主体行为的约束和激励,使重大科技工程项目实施的效果最佳接近预定目标。 四、重大科技工程项目基础信息要素分析 多年来,世界上不同国家,为发展科学技术、提高军事实力、推动产业升级、抢占科技发展制高点、彰显国家综合实力,纷纷组织论证并实施重大科技工程项目。如:美国的阿波罗载人登月工程项目、GPS导航系统工程项目,我国的“两弹一星”工程、载人航天工程、大飞机工程等。此类重大科技工程项目的实施,都要实现科学技术、工程产品研制和相关能力发展等三个目标。这三个目标,需要通过完成一系列在项目全寿命周期内,以项目基础信息要素表达的产品特性、技术规范、行为活动来实现。 根据重大科技工程项目产生、发展全过程,经深入调研分析,从确定项目是什么、执行哪些标准、由哪些零部组件构成、都完成哪些工作任务、需要哪些资源保障、用什么工艺技术、由谁来完成等角度出发,将重大科技工程项目基础要素按七个维度进行了划分,即:项目技术指标E(t)、项目标准规范S(t)、产品配套结构P(t)、项目任务计划W(t)、保障资源配置R(t)、制造工艺技术I(t)、组织管理效能O(t)。这七个维度的要素即独立存在,又相互关联、相互作用、相互影响,从数学的角度看其构成一个综合反映重大科技工程项目某一时间剖面状态的系统网络函数,随时间演进变化反映重大科技工程项目运动发展态势和目标。 (一)项目技术指标E(t) 重大科技工程项目全寿命周期内所有活动都围绕项目技术指标E(t)展开,项目技术指标实现度可从技术目标层面反映项目执行过程的运动态势。项目技术指标E(t)作为重大科技工程项目的基础要素之一,具体包括对寿命、能耗、可靠性、环境适应性、安全性、保障性、测试性、维修性等进行描述的事项。 (二)项目标准规范S(t) 重大科技工程项目从立项至终止全寿命周期内的活动、物质、数据信息众多,应有统一的标准规范,保证工作的协调性、方法的一致性、质量的可溯性、费用的确定性等。标准规范作为重大科技工程项目基础要素之一,为便于与项目活动、项目指标等相对应,同时有利于开展对项目运动的分析,并深入分析其对项目目标的影响,将其分为:(1)反映项目功能的技术标准;(2)反映项目性能的产品标准;(3)保障项目运营的使用标准;(4)规范项目实施活动的管理标准;(5)约束实施主体行为的工作标准等五类。 (三)产品配套结构P(t) 重大科技工程项目作为开放复杂的巨系统,需配套使用众多具有特定简单功能和性能的零部组件产品,并通过集成构成分系统、子系统和大系统,承载项目的整体功能和性能。为便于准确核算配套产品对重大科技工程项目成本,明确验证系统功能需要开展的试验,需将重大科技工程项目按系统—›分系统—›部组件—›零件顺序逐级分解到最小单元,并明确数量。 (四)项目任务计划W(t) 重大科技工程项目的实施涉及设计、研发、试验、制造、运行等众多环节,需要多主体合理分工共同参与完成,要保证项目按约定时间完成需对任务进行分解,落实承担单位,制订详细任务计划。本文将任务计划具体定义为各单位之间和各系统之间的任务,包括不能记入硬件研制的分系统、大系统功能、性能试验等任务,在某一单位内部和产品部件级以下的任务不予关注,随配套产品一同管理。 (五) 保障资源配置R(t) 保障资源配置是在项目全寿命周期不同时空阶段上,为项目实施配置所需要的设备设施、人力资源等资源条件,其有效配置是重大科技工程项目成功实施保障。本文所指的资源是重大科技工程项目在全寿命周期中需要配置大量人力资源、物力资源以及软环境建设等无形资源。具体包括从事各系统、分系统等设计、制造、试验等工作人员,加工制造设备设施、大型试验设施,科学技术情报、软件等信息和工具。 (六)制造工艺技术I(t) 制造工艺技术是工业产品加工制造方法,是长期从事生产实际工作经验总结,是指导系统设计、零部件制作,开展零部件和系统试验并保证质量,节约能源,降低工料消耗的重要手段,也是重大科技工程项目参研部门进行生产准备、计划调度,保证安全生产和技术工作,指导操作人员进行正确操作的重要依据。采用不同种类的制造工艺技术,对重大科技工程项目成本、质量、进度产生不同的影响,因此应作为一类重要的要素进行管理,具体包括设计技术、仿真技术、试验技术、加工技术、测试技术等。 (七)组织管理效能O(t) 重大科技工程项目需要多机构、多部门协同完成相应工作内容,需建立管理主体、使用主体、实施主体、服务主体之间的正确组织关系,明确各主体职责,制订合理规章制度保障其顺利实施。本文重点关注:项目主体的系统性、完整性、协调性,项目成本管理、质量管理、进度管理、协同管理、合同管理制度的有效性,监督、考核、评价、激励、约束制度的效能,从而控制好质量、进度、成本和协同,以实现项目的三个既定目标。 五、重大科技工程项目绩效评价体系 对重大科技工程项目进行动态管理和绩效评估,需在总目标背景下对其阶段性预期目标优化设定,对基础信息要素进行测度,通过统计分析确定四大特征要素与基础要素关系,并对其进行绩效评价,从而实现全过程动态控制,实现项目实施效率、效益、效果最大化。 (一)重大科技工程项目预期目标优化设定 重大科技工程项目需各主体在相应时间、质量、成本约束条件下协同完成,因此设定项目目标包含成本、质量、进度、协同。在论证初期设定成本、质量、进度、协同目标,且对全寿命周期内各项目标预期相应状态进行设计。 从实际情况看,重大科技工程项目在其实施过程中,成本、质量、进度、协同等四大特征要素,在不同的任务阶段随时间受七个维度基础要素的影响而变化,用成本控制率、质量合格率、进度达标率、协同实现率表述。根据多目标规划模型,四大特征要素在某一时点上的状态可分别用数学函数来表达如下: 成本控制率函数: 其中 同理,质量合格率函数为: 进度达标率函数为: 协同实现率函数为: 某一时间断面,重大科技工程项目要进行成本控制、质量控制、进度控制、协同控制,受到相应条件约束,属于动态多目标优化问题,故利用多目标动态优化理论建立多目标综合优化模型[11]: 其中,评价函数 、不等式约束条件函数 ,以及等式约束条件函数 都可能随时间t发生变化。 动态多目标优化问题目前使用较为广泛的优化算法为进化算法、群智能算法。参考相应文献,总结各算法优缺点,拟采用群智能算法中粒子群优化算法。粒子群优化算法于1995年由美国的James Kennedy教授和Russell Eberhart教授共同提出[12]。 该多目标集成优化模型由七个变量 N个粒子即某一时点经初始化的N个随机解,通过迭代找到重大科技工程项目集成控制最优解。在每一次迭代中,粒子通过跟踪粒子本身所找到的最优解,即个体极值pBest与该种群目前找到的最优解gBest来更新自己,个体极值与全局极值可分别进行如下表示: 经过迭代找到上述两个最优值时,粒子应根据粒子群算法更新自己速度和位置,不断迭代直到获得该时点集成优化模型满意解,符合重大科技工程项目成本、质量、进度和协同控制目标,确定四大特征要素及项目整体动态最优目标值,对项目全过程进行监测,建立重大科技工程项目全过程实时动态调整机制。 (二)重大科技工程项目基础信息要素测度 重大科技工程项目在全寿命周期内七个维度基础要素随项目进展呈现动态变化,可分别表述为指标达标率、标准执行率、配套到位率、任务完成率、资源准备率、技术使用率、组织适应率。而上述七个维度要素又包含若干子要素,具体可用实际发生的情况与项目阶段目标的相对值测度。单个子要素测度函数如下: 每个维度要素由若干子要素构成,各维度的测度函数受其子要素影响。假定每个维度有n个子要素,且该n个子要素相互独立,则每个维度要素函数值可表示为若干子要素的乘积,分别表示如: (三)重大科技工程项目某时点绩效函数 重大科技工程项目从项目立项到项目终止全寿命周期内,要按约定时间、成本、质量完成预定的目标,同时政府机构、军事机关、各军兵种等管理主体,企事业单位、高等院校、军事科研单位等实施主体,各经济和社会发展部门、各军事作战单位等使用主体各方须充分协同完成任务。因此,应密切关注项目成本、进度、质量、协同等四大特征及项目综合绩效。由于七个维度要素变化对重大科技工程项目成本、质量、进度、协同和综合绩效产生影响,且不同阶段的影响程度不同,具有一定的关联关系,分别表示为项目成本函数(PC)、项目质量函数(PQ)、项目进度函数(PP)、项目协同函数(PS)。具体表示如下: 项目整体完成情况可以用项目综合绩效函数进行表示,即: 考虑项目整体绩效由项目成本绩效、质量绩效、进度绩效、协同绩效决定,而七个维度要素在项目实施的不同阶段对上述四个特征要素绩效的影响程度不同,且随项目进展呈现动态变化,综合构成28个影响系数矩阵。具体表示如下: 上述28个系数可根据重大科技工程项目七个维度要素的历史数据,经过深入研究后确定。 (四)重大科技工程项目全要素、全过程绩效评价模型 重大科技工程项目全要素、全过程管理思想来源于管理领域最先进的管理思想和管理方法——全系统、全寿命周期管理,属于系统管理范畴。根据重大科技工程项目演化运行规律将其分为如下阶段:方案论证、工程研制、生产交付、运行维护维修、退役回收。任何一项研究都必然有一个发展成熟的过程,重大科技工程项目必然遵循相应规律,随研究深入,技术不断成熟,围绕技术本身配置(功能、性能、质量、工艺等)、技术在系统中的集成度(部件、单机、分系统、系统等)、技术进行演示或验证的环境(实验室环境、模拟使用环境、典型使用环境等)三个属性逼真度逐渐接近直到形成最终产品,完成项目目标。在整个寿命周期内需对项目进行多目标优化、管理和绩效评价。具体如图1所示。 图1 重大科技工程项目全要素、全过程、全主体绩效评价模型 综上,设定项目预期总目标(在此进行成本、质量、进度、协同等多目标优化),对项目实施过程七类要素进行监控,对成本、质量、进度、协同四大特征及项目总体进行绩效评价,调整提出新的项目预期目标(在此再进行多成本等目标优化),不断循环迭代直至完成项目。 六、结束语 本文以重大科技工程项目为对象,剖析重大科技工程项目七类基础信息要素,分析项目目标,建立基于基础要素的动态多目标综合优化模型,提出运用粒子群算法解决多目标优化问题,并对项目成本、质量、进度和协同的预期与实际进行比较和实施控制;建立重大科技工程项目全过程绩效评价模型,对实现重大科技工程项目科学目标、能力目标与工程目标进行风险分析、策略选择及科学有效管理起到推动作用的初步构想。基于上述构想,还将针对重大科技项目不同目标、不同任务、不同主体、不同要素、不同阶段开展深入系统的持续研究,以便形成完整的理论方法并加以应用,为我国重大科技工程项目管理提供科学有效的工具。 参考文献 [1]张振刚,陈志明,李云健.开放式创新、吸收能力与创新绩效关系研究[J].科研管理,2015(3):49-56. [2]李存金,王俊鹏.大规模科学技术工程系统集成组织模式初探[J].科技管理研究,2013(15):235-239. [3]谭祥升.飞机工程研制阶段项目管理的应用研究[D].北京航空般天大学.2006. [4]史安娜,武琳,冯楚建.公共财政投入重大科技项目监察模式创新研究[J].中国科技论坛,2012(4):11-15. [5]尤建新,曹颢,郑海鳌.基于技术创新的科技项目绩效管理研究[J].中国管理科学,2009(10):192-197. [6]黎梦瑜.基于全寿命周期的重大科技项目规范化管理研究[J].创新科技,2015(4):21-23. [7]贺新闻,王艳.大规模科学技术工程管理模式架构分析[J].中国科技论坛,2012(7):14-19. [8]刘兰剑,党兴华.合作技术创新界面管理研究及其新进展[J].科研管理,2007(3):1-8. [9]孔德成,候光明.复杂重大科技工程隐性知识传承模型研究[J].科学学研究,2012(10):1558-1563. [10]黄杰,熊江陵,李必强.集成的内涵与特征初探[J].科学学与科学技术管理,2003(7):20-22. [11]Cheng R, Jin Y.A social learning particle swarm optimization algorithm for scalable optimization [J]. Information Sciences, 2015(6) : 43-60. [12]Frans V D B, Engelbrecht A P. A cooperative approach to particle swarm optimization. IEEE transactions on evolutionary computation,2004(3) : 225-239. [13]吕振肃,侯志荣.自适应变异的粒子群优化算法[J].电子学报,2004,32(3):416-420. 注:原文刊载于《军事运筹与系统工程》2018年第3期,本次发表有改动。文中图片来源于网络。 | |||||
相关链接
- 杨上明 | 推动氢能产业健康有序...2022-03-28
- 黎晓 吕倩倩 | 关于搭建大监督...2022-03-24
- 武博祎 张雪岩 | 融合·重塑“...2022-03-23
- 索明亮 | 沿江高速铁路引入南京...2022-03-21
- 于涵 等 | 低碳城市发展与评价...2022-03-16











