首页
>
智库建设
>
中咨视界
中咨视界
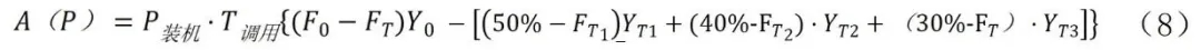
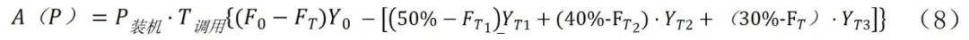
郭凤凤 等 | 煤电灵活性改造经济效益评价研究
发布日期:2024-04-22
信息来源:中咨研究
访问次数:
字号:[
大
中
小
]
分享:
相关链接
反驳五大误解 中国经济仍在崛起
2024-04-18
胡铂 | 推进我国世界级机场群高...
2024-03-29
评估中国在机器人行业的创新程度
2024-03-21
周荣 郭建斌 郑立 周茜 | 推...
2024-02-05
开云集团官网首页
|
欧冠买球官网
|
赢博官网
|
完美官方端网站登录入口
|
冠亚平台
|
万搏·官方版网站登录入口
|
贝投平台登录网站
|
亚星在线官网
|
贝投体育官方
|